• Предмет: Алгебра
  • Автор: luna45635
  • Вопрос задан 2 года назад

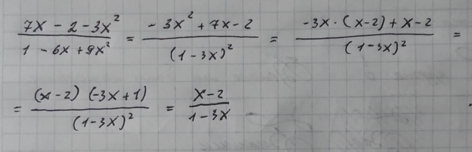
скоротіть рівняння 7х-2-3х^2 /1-6х+9х^2​

Ответы

Ответ дал: shirokioko
0

сорі за почерк.........

Приложения:
Вас заинтересует