• Предмет: Математика
  • Автор: swetlanaprya
  • Вопрос задан 2 года назад

Помогите решить 9 интеграл методом замены

Приложения:

aastap7775: универсальную тригонометрическую замену посмотри. Мне сейчас немного лень писать)
swetlanaprya: Хорошо, спасибо)
swetlanaprya: Если тебе сейчас не лень, можешь, пожалуйста, посмотреть 9 интеграл?

Ответы

Ответ дал: aastap7775
0

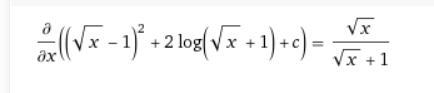
\int \frac{\sqrt{x}}{1+\sqrt{x}}dx = | x = t^2 => dx = 2tdt| = \int \frac{2t^2}{t+1}dt = \int\frac{2(t^2+2t+1) - 4t-2}{t+1}dt = \int 2(t+1) - 2\frac{2t+1}{t+1} = 2\int(t+1)dt - 2\int\frac{2t+1}{t+1}dt =  \int 2(t+1) - 2\frac{2t+1}{t+1} = 2\int(t+1)dt - 2\int\frac{2(t+1)-1}{t+1}dt =   \int 2(t+1) - 2\frac{2t+1}{t+1} = 2\int(t+1)dt - 2\int 2 - \frac{1}{t+1} dt = (t+1)^2 - 2(2t-ln(t+1)) + c= (\sqrt{x}+1)^2 - 2(2\sqrt{x} - ln(\sqrt{x}+1)) + c = x + 2\sqrt{x} + 1 - 4\sqrt{x} + 2ln(\sqrt{x}+1)+c == x - 2\sqrt{x}+2ln(\sqrt{x}+1) + c = (\sqrt{x}-1)^2 - 1 + 2ln(\sqrt{x}+1) + c = (\sqrt{x}-1)^2 + 2ln(\sqrt{x}+1) + c

Приложения:
Вас заинтересует