• Предмет: Химия
  • Автор: sofiazh20112004
  • Вопрос задан 2 года назад

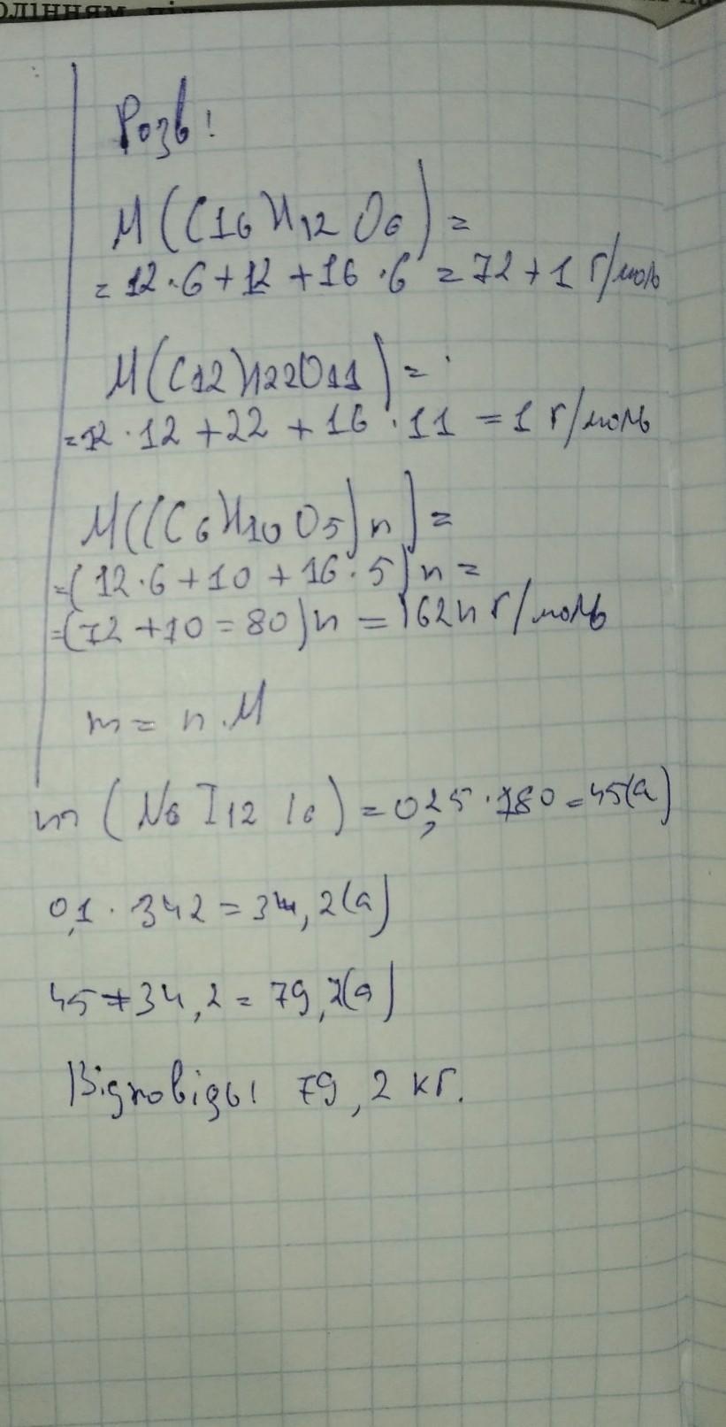
Обчисліть масу суміші, що містить 0,25 моль глюкози, 0,1 моль сахарози і по 0,2 моль крохмалю та целюлози. ХІМІЯ ПОМОГИТЕ СРОЧНО​

Ответы

Ответ дал: Radionenko372
8

Объяснение:

сам/а поймеш..........

Приложения:
Вас заинтересует