Ответы
Ответ дал:
0
Ответ:
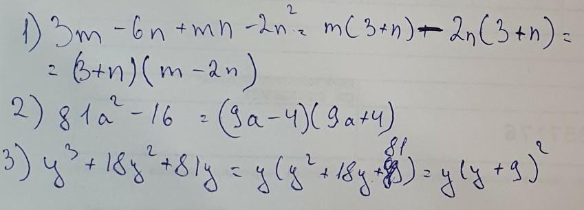
1. (3+n)(m-2n)
2. (9a-4)(9a+4)
3. y(y+9)²
Объяснение:
1. 3m - 6n + mn - 2n² = 3(m-2n) + n(m-2n) = (3+n)(m-2n)
2. 81a²-16 = 9²*a²-4²=(9a-4)(9a+4)
3. y³+18y²+81y = y(y²+18y+81) = y(y²+2*9y+9²) = y(y+9)²
Ответ дал:
0
Ответ:
......................
Приложения:

Вас заинтересует
1 год назад
1 год назад
1 год назад
8 лет назад
8 лет назад