• Предмет: Математика
  • Автор: Аноним
  • Вопрос задан 2 года назад

Помогитеее 50 баллов ​

Приложения:

Аноним: сорри, уроки делать надо
Аноним: ок
Аноним: твой вопрос удалили
Аноним: ну где ты баллы раздаешь
Аноним: Что необходимо делать, чтобы правильное вести домашнее хозяйство? 
Аноним: помоги пожалуйста
Аноним: все как то странно отвечают
Аноним: Привет
Аноним: Извини я вчера не ответила потому , что меня забанили
Аноним: Я не могла ни задать вопросы не ответить на вопросы не написать коменты ничего не могла сделать

Ответы

Ответ дал: mabelpains88
2

Ответ:

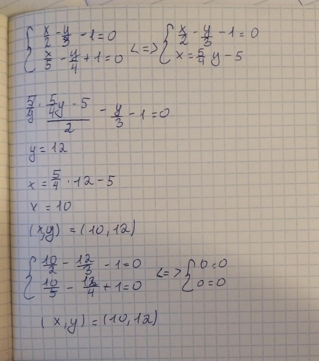
вот ответ

получается (x,y) (10,12)

Приложения:

Аноним: Давай задание
Аноним: Попробую...
Аноним: Я тоже в 6
mabelpains88: ну там в моих вопросах, по математике самый первый который
mabelpains88: на котором нет ответов
Аноним: Ща позырю
Аноним: Привет
Аноним: Помоги с эссе пожалуйста
Аноним: до конца дня надо моя сдать , а это последнее задание
mabelpains88: ща посмотрю
Ответ дал: vityamath
2

Решение на фотографии!!!!!

Приложения:
Вас заинтересует