Ответы
Ответ дал:
1
Пошаговое объяснение:
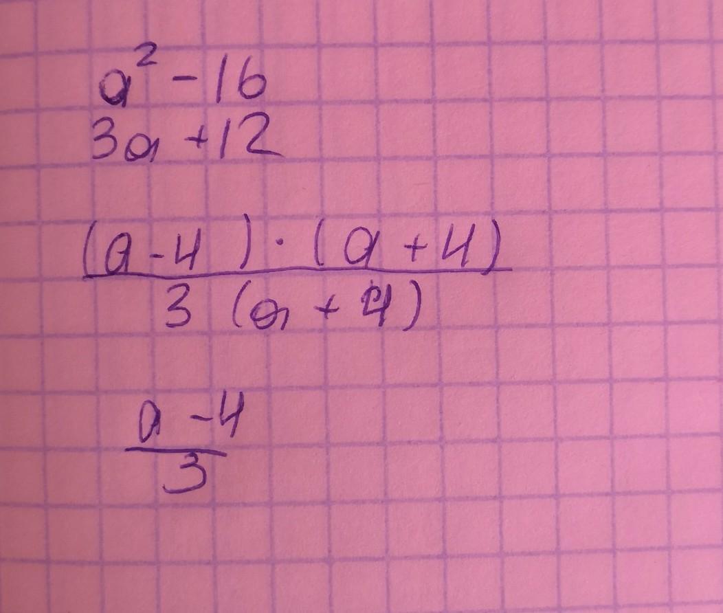
Фото с решением прикрепил
Приложения:

Аноним:
спосибоо
Вас заинтересует
1 год назад
1 год назад
1 год назад
3 года назад
8 лет назад