• Предмет: Алгебра
  • Автор: регарегинарегина
  • Вопрос задан 11 лет назад

1. представте одночлен  5,3а⁵б²с  в виде суммы одночленов: 1)с одинаковыми по знаку коэффициентами. 2) с разными по знаку коэффициентами.

 

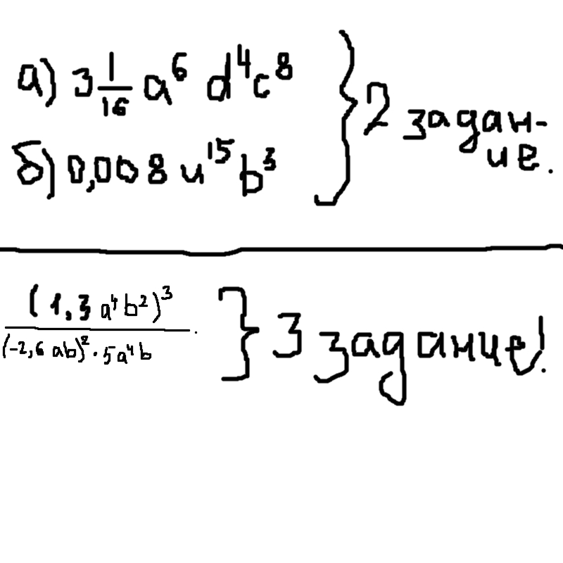
2. представте в виде квадрата или куба некоторого одночлена: а)  3 целых одна 16-ая а⁶d⁴с⁸. б) 0,008u∧15(в степени 15)б³

 

3) упростите выражение     (1,3а⁴б²)³

                                      ____________=

                                     (-2,6 аб)²·5а⁴б

Приложения:

Ответы

Ответ дал: ИринаАнатольевна
0

№1.

1) 5,3а⁵b²с=5а⁵b²с+0,3а⁵b²с

2) 5,3а⁵b²с=6а⁵b²с-0,7а⁵b²с

 

№2.

а)3frac{1}{16}a^6d^4c^8=frac{49}{16}a^6d^4c^8=(frac{7}{4}a^3d^2c^4)^2

 

б)0,008u^{15}b^3=(0,2u^5b)^3

 

№3.

frac{(1,3a^4b^2)^3}{(-2,6ab)^2cdot5a^4b}=frac{(1,3)^3a^{12}b^6}{(-2)^2cdot(1,3)^2a^2b^2cdot5a^4b}=frac{1,3a^6b^3}{20}=0,065a^6b^3

Вас заинтересует