• Предмет: Алгебра
  • Автор: tamila07
  • Вопрос задан 2 года назад

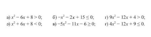
Решите неравенство:

ПОМОГИТЕ СРОЧНО

Приложения:

Ответы

Ответ дал: campooangel
0

....................

Приложения:

campooangel: если это интервал то ответ правильный
Вас заинтересует