• Предмет: Математика
  • Автор: ЛераИвашкина
  • Вопрос задан 11 лет назад

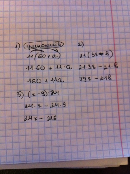
как упростить 11(60+а)
21(38-b)     (x-9)24     (y+4)38

Ответы

Ответ дал: romka7P
0
660+11а
798-21b
24x-216
38y+152
Ответ дал: ЛераИвашкина
0
напишите решение
Ответ дал: romka7P
0
там решать нечего, это и есть решение просто раскрыть скобки
Ответ дал: ЛераИвашкина
0
аааа понятно спасибо
Ответ дал: Викуля199606
0
660+11а
798-21b
24x-216
38y+152
смотри фото!
Приложения:
Ответ дал: ЛераИвашкина
0
напиши решение
Ответ дал: Викуля199606
0
смотри фото
Вас заинтересует