Ответы
Ответ дал:
0
Как-то так:
Х3-3х2-8х+24=0
(Х3-3х2)-(8х-24)=0
3Х2(х-1)-(8х2-24)=0
(х-1)(8х2-24)=0
Х-1=0 или 8Х2-24=0
Х1=1 8Х2 =24
Х2=3. Х2= √3 Х3=-√3
Х3-3х2-8х+24=0
(Х3-3х2)-(8х-24)=0
3Х2(х-1)-(8х2-24)=0
(х-1)(8х2-24)=0
Х-1=0 или 8Х2-24=0
Х1=1 8Х2 =24
Х2=3. Х2= √3 Х3=-√3
Ответ дал:
0
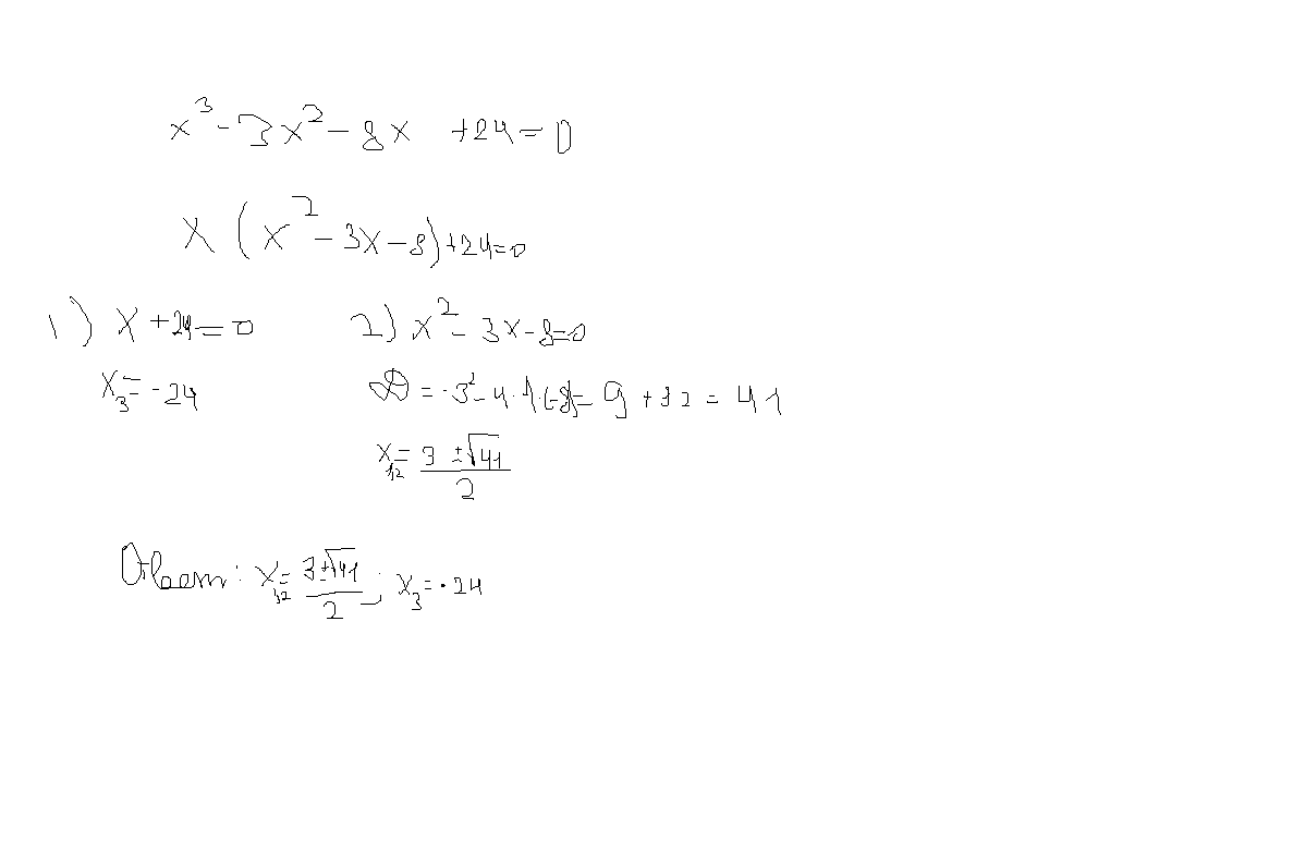
У меня вот так получилось...
Приложения:

Вас заинтересует
2 года назад
8 лет назад
10 лет назад
10 лет назад
10 лет назад