• Предмет: Алгебра
  • Автор: polins596911
  • Вопрос задан 2 года назад

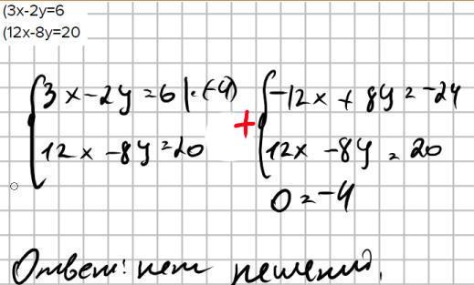
4. Розв'яжіть систему рівнянь:
(3x-2y=6
(12x-8y=20

Пожалуйста,помогите!

Ответы

Ответ дал: Аноним
9

Ответ:

нет решений

Объяснение:

Приложения:
Вас заинтересует