Ответы
Ответ дал:
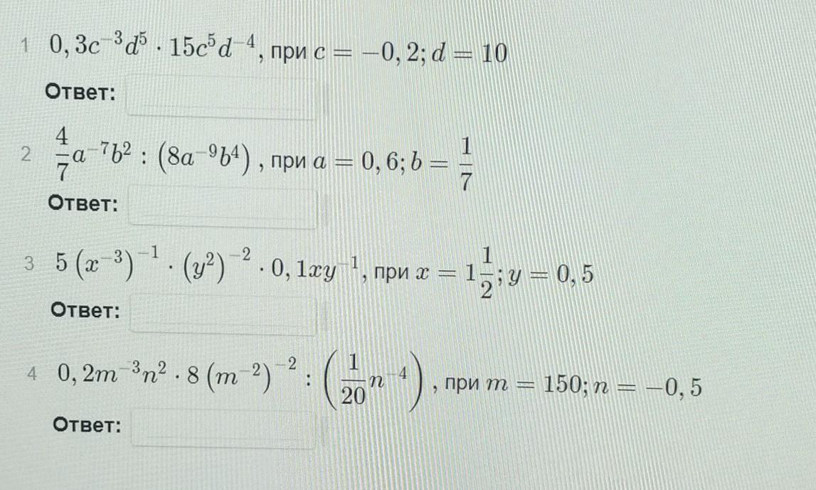
1
Ответ:
1) 9/5
2) 1,26 либо 1 целая 13/50
3)81
4)75
Объяснение:
Ответ дал:
1
Ответ в приложенном фото)
Приложения:

vakirik12:
спасибо большое
Вас заинтересует
1 год назад
1 год назад
1 год назад
3 года назад
3 года назад
8 лет назад
8 лет назад