Ответы
Ответ дал:
1
Ответ:
чекай фото.
Пошаговое объяснение:
Отметь как лучшее решение)
Приложения:



bernariztleuov88:
лучший)))
Ответ дал:
0
Ответ:
Пошаговое объяснение:
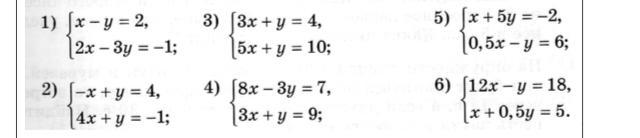
1) Метод сложения.
х-у=2 (1) уравнение
2х-3у=-1. (2) уравнение.
Умножим первое на -2.
-2х+2у=-4
2х-3у=-1
Сложим
-у=-5.
у=5.
Из (1).
х=2+у=2+5=7.
ОТВЕТ: х=7; у=5.
2)
-х+у=4 (1)
4х+у=- 1. (2).
Метод подстановки.
х=у-4 из (1).
Подставляем во (2)
4(у-4)+у=-1.
4у-16+у=-1.
5у=15.
у=3.
х= 3-4=- 1.
Ответ: х=- 1 ; у=3.
3)
3х+у=4 (1)
5х+у=10. (2)
Метод подстановки.
у=4-3х (из (1)
Подставляем во (2)
5х+4-3х=10.
2х=6.
х=3.
у=4-3*3=4-9=-5.
Ответ: х=3 ; у=- 5.
4)
8х-3у=7
3х+у=9.
Ответ: х=2; у=3.
5)
х+5у=-2
0,5х-у=6.
Ответ: х=8 ; у=-2.
6)
12х-у=18
х+0,5у=5.
Ответ : х=2 ; у=6.
Если будут затруднения, напиши.
Просто писать не хочется решения.
Всё просто. Только внимательность.
Вас заинтересует
1 год назад
1 год назад
1 год назад
3 года назад
3 года назад
8 лет назад
8 лет назад