• Предмет: Математика
  • Автор: daniel3010
  • Вопрос задан 2 года назад

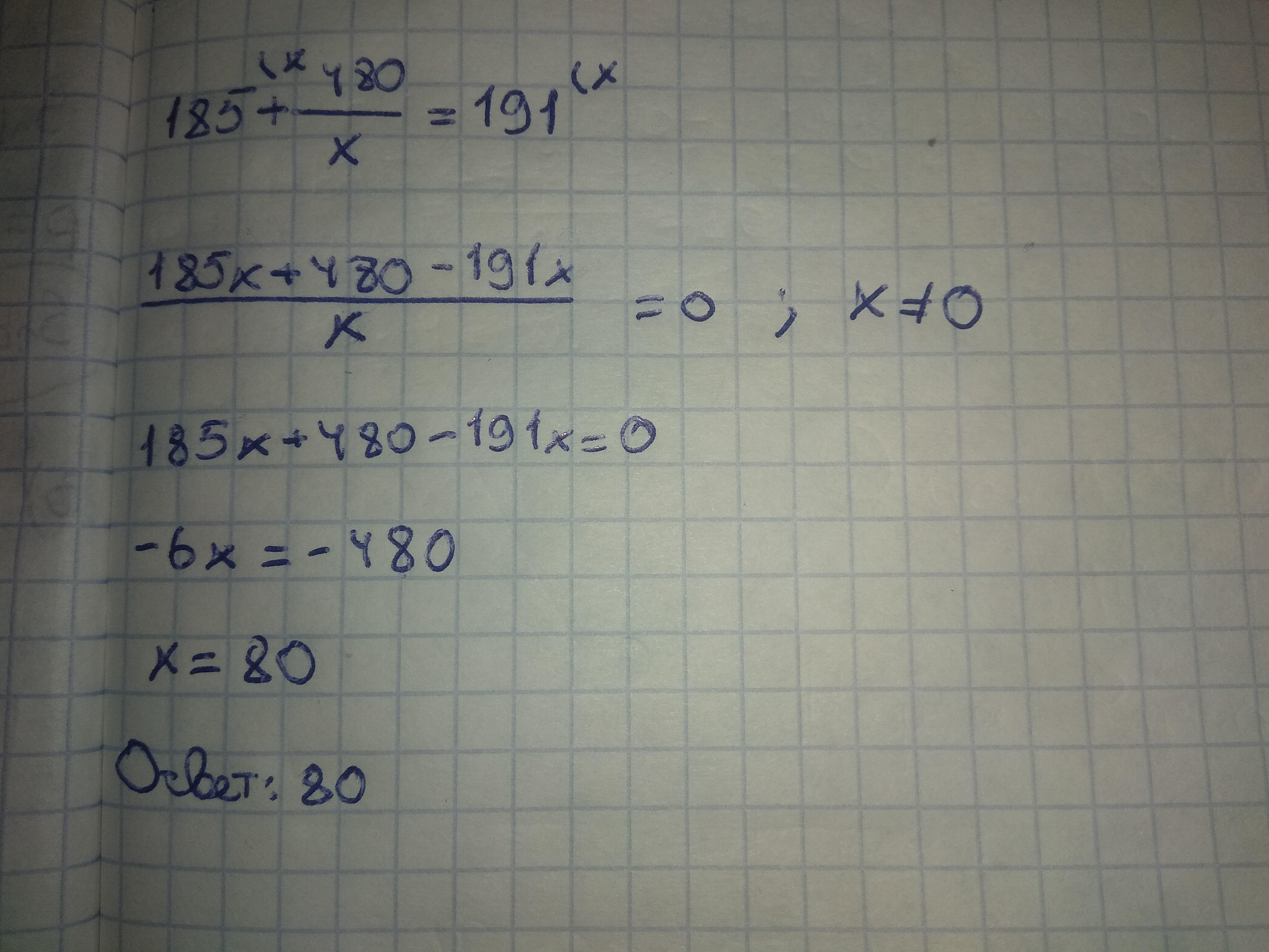
помогите пожалуйста решить уравнение по математике 185+480÷х=191​

Ответы

Ответ дал: Daniel777coll
13

Надеюсь, что смог помочь тебе.

Приложения:
Ответ дал: fane81
18
Вот решение на фото, посмотри
Приложения:

Аноним: это фсе не правильно!!!
Вас заинтересует