• Предмет: Алгебра
  • Автор: votsmotri12uu
  • Вопрос задан 2 года назад

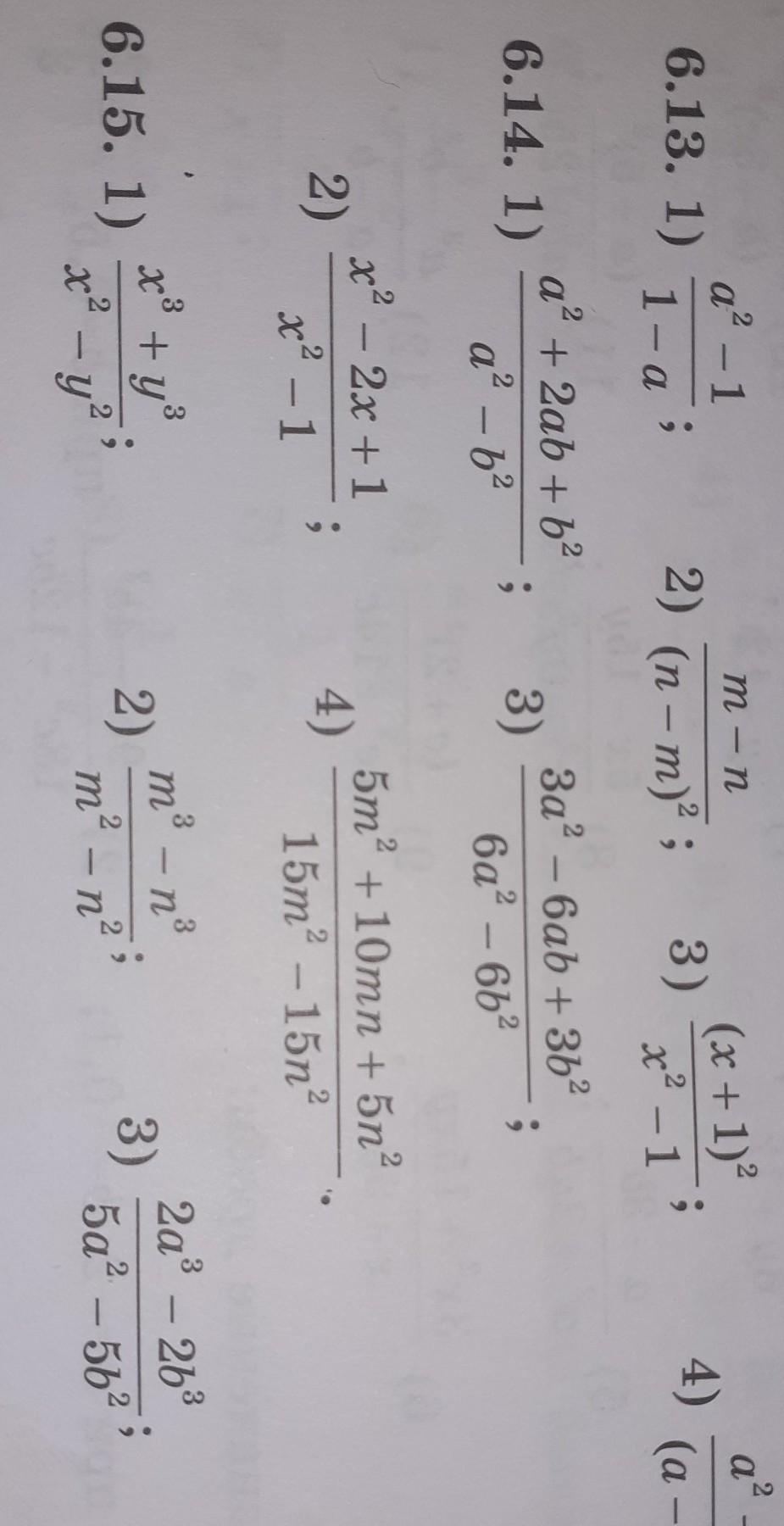
ТОЛЬКО 1 И 3 ВСЕХ ЗАДАНИЙ, ПОЖАЛУЙСТА​

Приложения:

Ответы

Ответ дал: Olyatkachenko131
1

Ответ и Объяснение: фото

+ Объяснение: потрібно використовувати формули скороченого множення

Приложения:

votsmotri12uu: От души бро (систер)
Вас заинтересует