• Предмет: Геометрия
  • Автор: Maria2838
  • Вопрос задан 2 года назад

Пожалуйста помогите с геометрией

Приложения:

Ответы

Ответ дал: kalinintalin
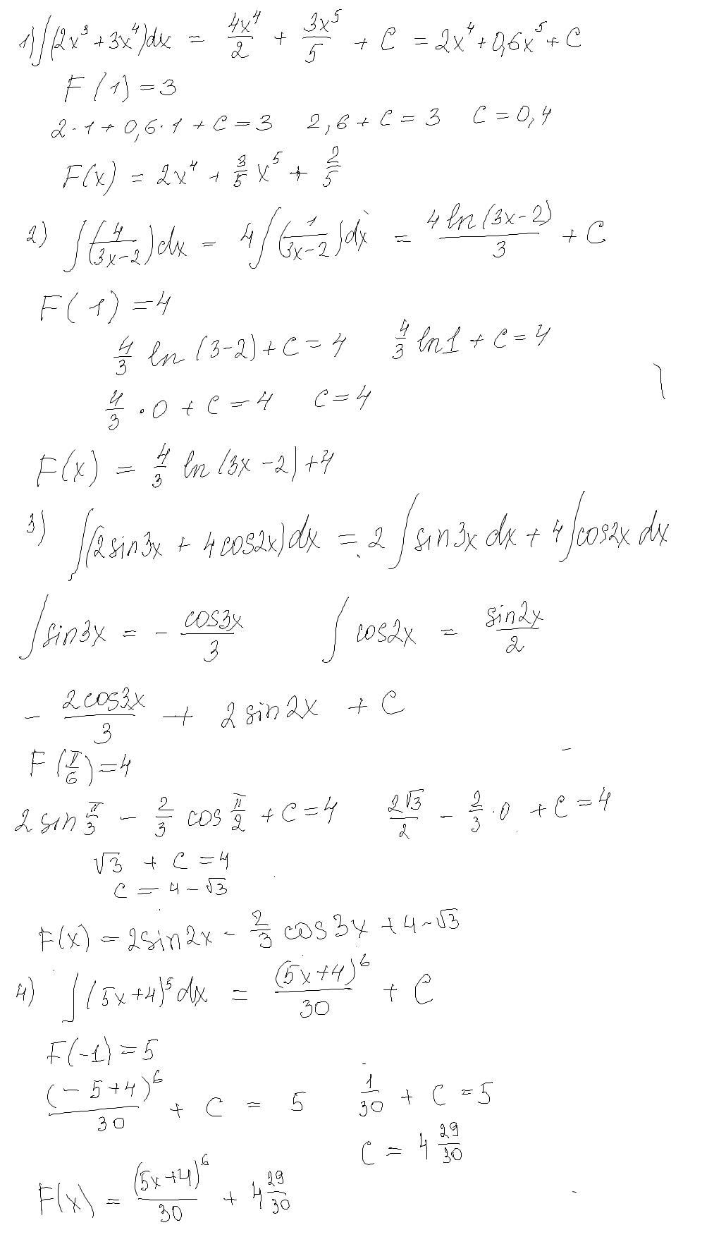
1

Ответ:

на фото

Объяснение:

Приложения:
Вас заинтересует