• Предмет: Математика
  • Автор: gulschaneshmuhambeto
  • Вопрос задан 2 года назад

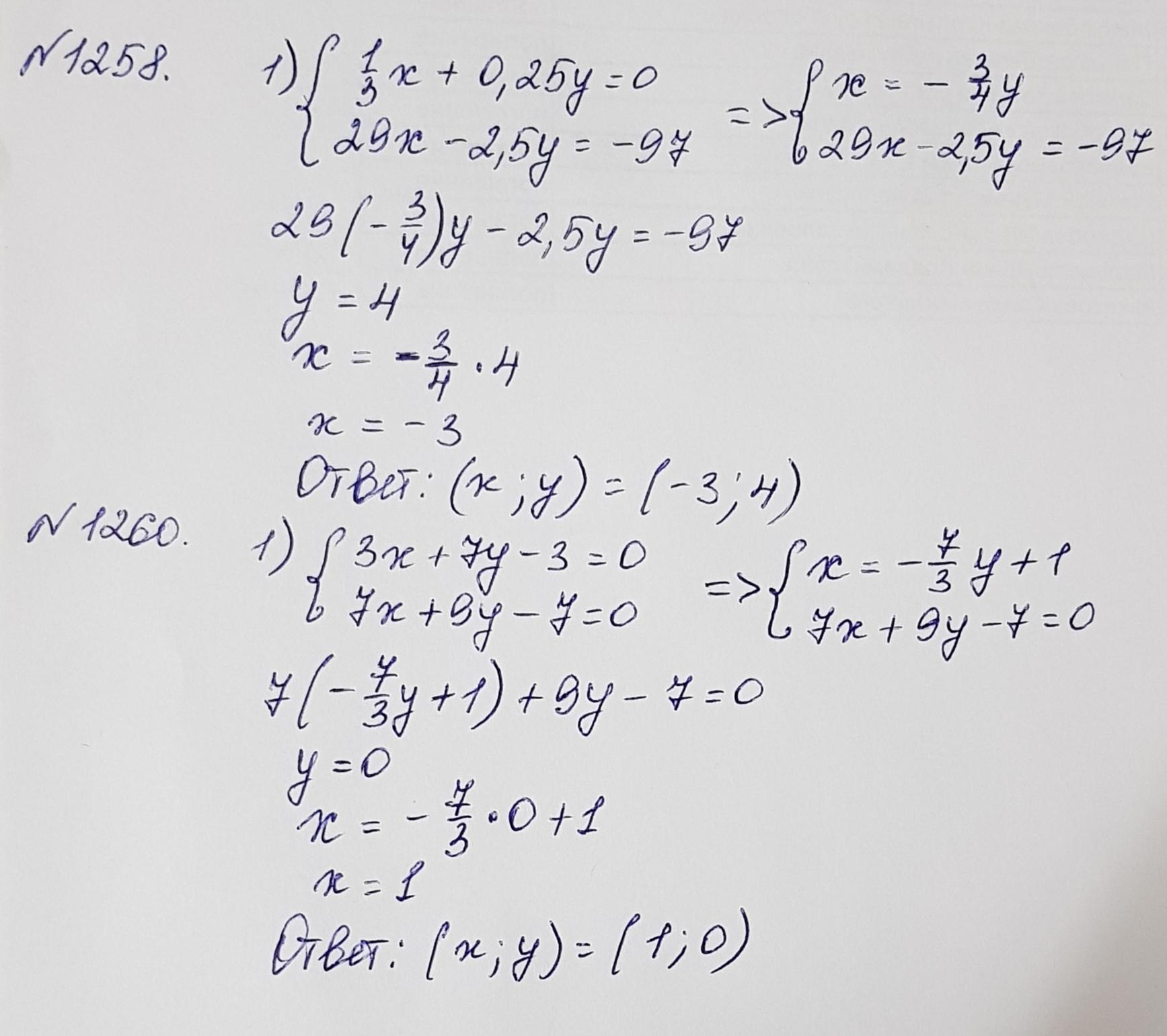
я не могу сделать N 1258 1) N 1260 1) пожалуйста ​

Приложения:

Ответы

Ответ дал: Юлия020802
1

Пошаговое объяснение на фото

Приложения:

gulschaneshmuhambeto: спасибо
Вас заинтересует