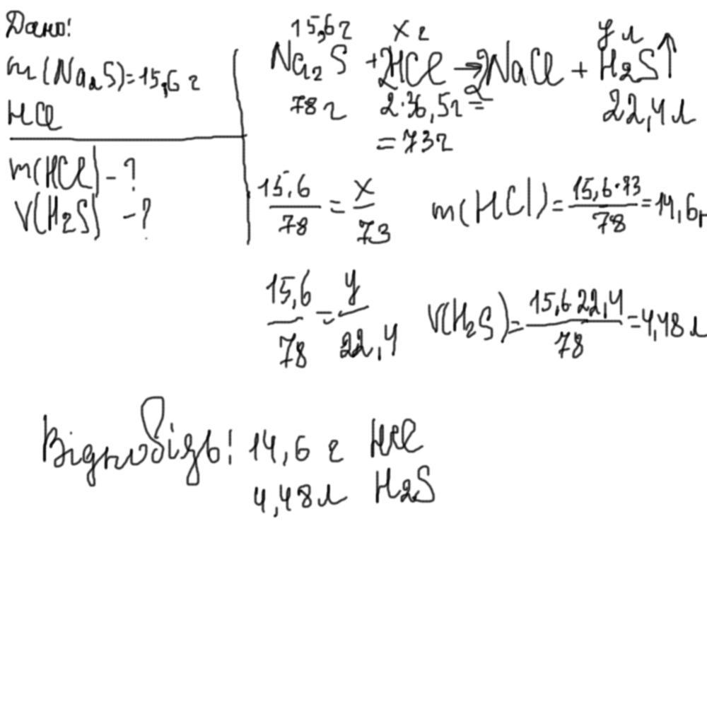
До розчину натрій сульфіду масою 15,6 г додали хлоридної кислоти. Який об'єм газу , що видділився після реакції та яка маса хлоридної кислоти , що прореагувала ?
Ответы
Ответ дал:
3
Відповідь: 14,6 г HCl ; 4,48 л H2S
Приложения:

penkalN:
спасибо❤️
Вас заинтересует
1 год назад
1 год назад
1 год назад
1 год назад
3 года назад
8 лет назад
8 лет назад