Ответы
Ответ дал:
1
Ответ:
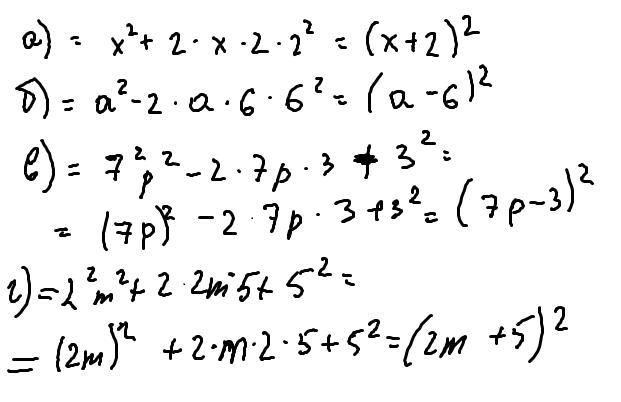
1) (x+2)^2
2)(a-6)^2
3)(7p-3)^2
4)(2m+5)^2
Ответ дал:
0
Ответ:
ответ на фото
Объяснение:
Приложения:

Вас заинтересует
1 год назад
1 год назад
1 год назад
1 год назад
3 года назад
3 года назад
8 лет назад
8 лет назад