• Предмет: Алгебра
  • Автор: mikhailplotnikov2020
  • Вопрос задан 2 года назад

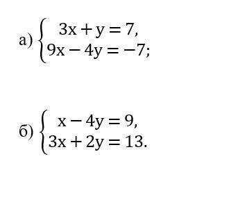
Решить систему уравнений способом подстановки

Приложения:

Ответы

Ответ дал: afet74
0

Ответ:

a)  (1;4)  ;   b)  (5; -1)  

Объяснение:

а)   y=7-3x          y=7-3x

     9x-4y=  -7    9x- 4(7-3x)= -7    

  9x-28+12x= -7    

  21x= -7+28=21

   x=1     y= 4             (1;4)

b)   x=9+4y

     3(9+4y)+2y=13              27+12y+2y=13

                                             14y= -1`4

                                              y= -1    x=5        (5; -1)

Вас заинтересует