• Предмет: Алгебра
  • Автор: Ritka9972
  • Вопрос задан 2 года назад

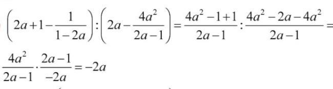
41.7. Выполните действия:
(2а + 1 -1/1 - 2а) : (2а - 4а²/2а-1)​

Ответы

Ответ дал: delta007
24

Сделай лучшим ПОЖАЛУЙСТА!

Приложения:

websit: К этому ответу ставлю пять звёзд. К нижнему 4. Потому что не в таком формате
websit: Не очень понятен
delta007: У него ответ неправильный
Ответ дал: davidmalsagov5
5

Ответ:

2а\2а-1 -1\2а+1= 2а*(2а+1) - (2а-1)\4а²-1 = 4а²+2а-2а+1\4а²-1 = 4а²+1\4а²-1

Объяснение:


websit: Можно в виде фото?
Вас заинтересует