• Предмет: Математика
  • Автор: AlexeyEntry
  • Вопрос задан 8 лет назад

Кто нибудь может помочь? нужно обязательно с решением.

Приложения:

Ответы

Ответ дал: Vasily1975
0

Ответ: d²z/dx²=6*x*y-y*sin(x),  

6.

Пошаговое объяснение:

dz/dx=3*x²*y+y*cos(x), d²z/dx²=6*x*y-y*sin(x)

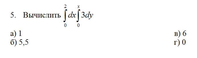
Вычисляя "внутренний" интеграл, находим его первообразную: F(y)=∫3*dy=3*y+С. Подставляя пределы интегрирования, находим F(x)-F(0)=3*x. Теперь вычисляем "внешний" интеграл ∫3*x*dx. Находим первообразную G(x)=∫3*x*dx=3/2*x²+C1. Подставляя пределы интегрирования, находим G(2)-G(0)=3/2*2²=6.

Ответ дал: Vasily1975
0
Могу.
Вас заинтересует