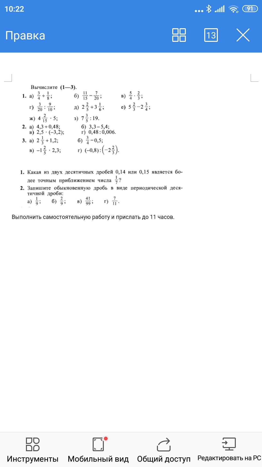
Умоляю, ответьте! Математика, 6ой класс! Надо до 11ти отправить! 25 баллов!
Только отвечайте на все и с решением.
Приложения:

Ответа на этот вопрос пока нет. Попробуйте найти его через форму поиска.
Вас заинтересует
2 года назад
2 года назад
3 года назад
3 года назад
8 лет назад