• Предмет: Математика
  • Автор: samoylova666
  • Вопрос задан 8 лет назад

Помогите пожалуйста!!!


ДАМ 20 БАЛЛОВ

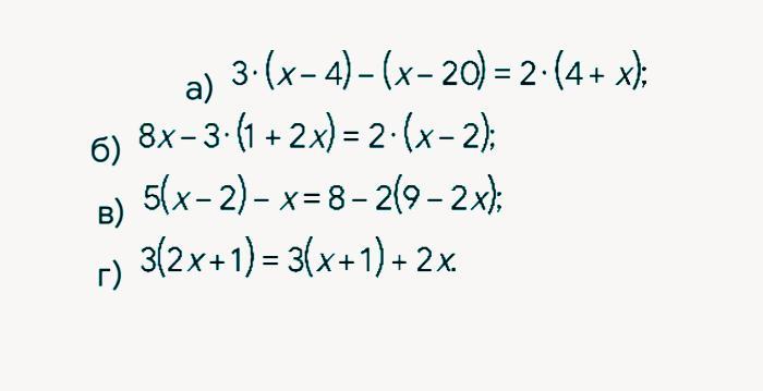
Приложения:

Ответы

Ответ дал: skot5
0

А) х принадлежит R

Б) утверждение ложное ( - 3= - 4)

В) х = 8

Г) х=0

Вас заинтересует