• Предмет: Математика
  • Автор: shyshytka
  • Вопрос задан 2 года назад

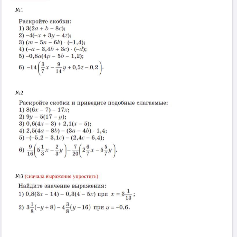
Помогите ,хотя бы 1 задание(6 класс)

Приложения:

Ответы

Ответ дал: irismatovadildora03
1

Ответ:

1.48x-56-17x=31x-56

2.9y-75+5y=14y-75

3.2.4x-1.7+2.1x-10,5=4.5x-11.2

Вас заинтересует