• Предмет: Математика
  • Автор: abdykadyrov0110
  • Вопрос задан 8 лет назад

помогите пожалуйста пожалуйста пожалуйста пожалуйста пожалуйста пожалуйста пожалуйста пожалуйста пожалуйста пожалуйста пожалуйста пожалуйста пожалуйста пожалуйста пожалуйста пожалуйста пожалуйста
прошу вас умоляю ​

Приложения:

Ответы

Ответ дал: 1UFO1
0

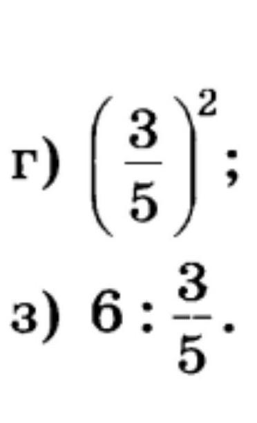
Ответ:

г) 3/5 * 3/5 = 9/25

з) 6 : 3/5 = 6 * 5/3 = 10

Ответ дал: xdik000
0

Ответ:

Скачай................................

Приложения:
Вас заинтересует