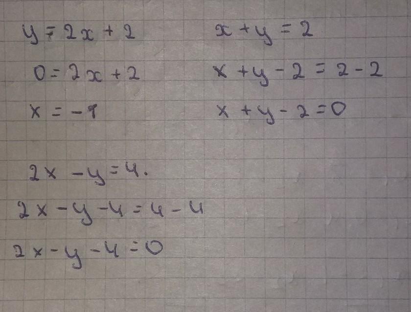
1.Построение графика линейной функции y= 2x+2. 2. Решить систему уравнений : х+у=2 ; 2х-у=4.
Помогоите срочно пожалуйста.
Ответы
Ответ дал:
0
Ответ:
решила как смогла объяснение на фото
Приложения:

Вас заинтересует
2 года назад
2 года назад
3 года назад
3 года назад
8 лет назад
8 лет назад