• Предмет: Математика
  • Автор: ira291188ira
  • Вопрос задан 8 лет назад

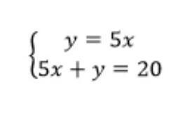
решите систему уравнение помогите срочно ​

Приложения:

Ответы

Ответ дал: wapojal834
0

Ответ:

(2;10)

Пошаговое объяснение:

y = 5x

Подставляем во второе уравнени

y + y = 20

2y = 20

y = 10

из первого уравнения выводим x

x = y/5

x = 2

ответ(2;10)

Вас заинтересует