• Предмет: Алгебра
  • Автор: hahaha723
  • Вопрос задан 8 лет назад

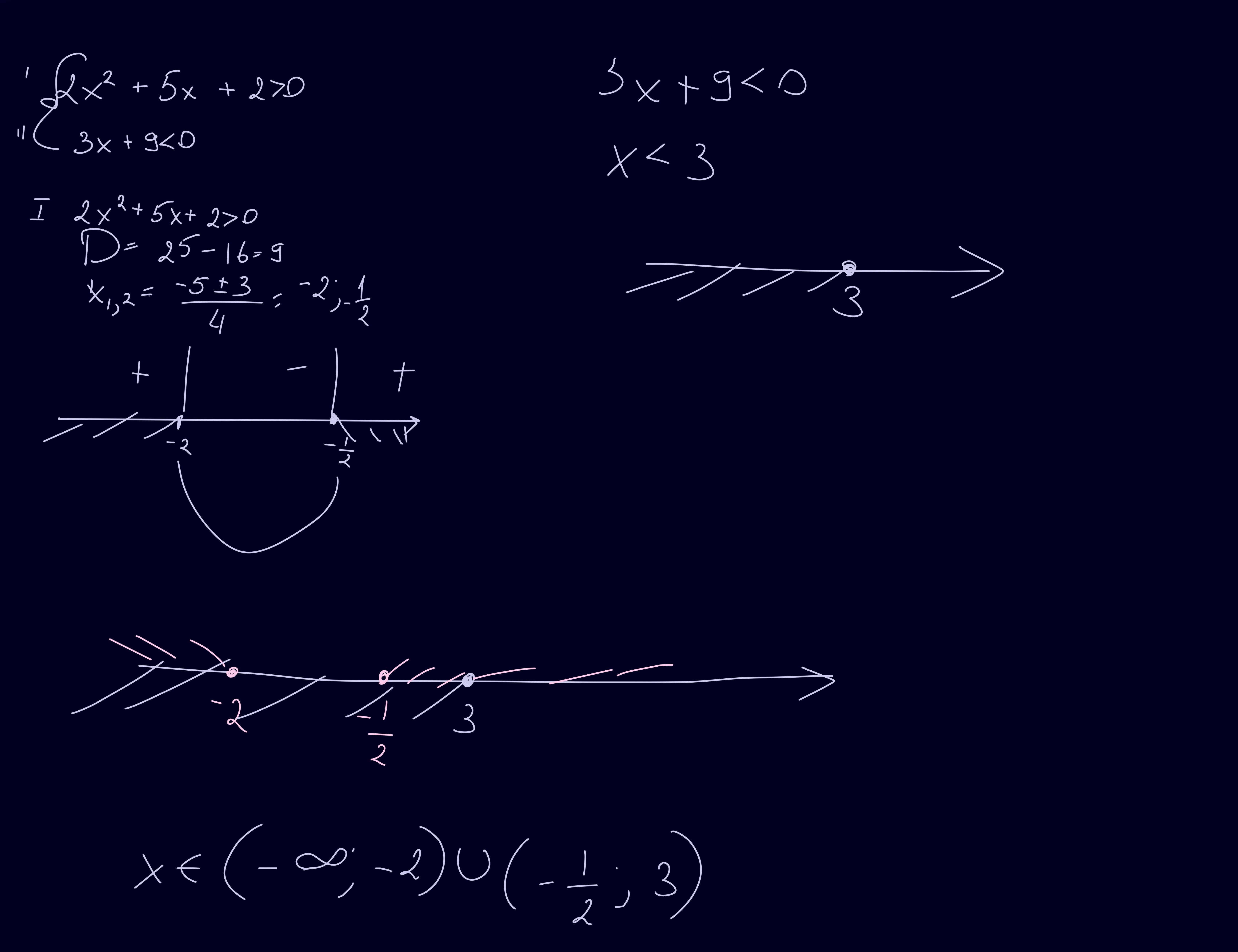
решите систему неравенств {2x²+5x+2>0
{3x+9<0​

Ответы

Ответ дал: sav1nav1k
0

Тут все написано, отметь как лучшее

Приложения:
Вас заинтересует