• Предмет: Алгебра
  • Автор: Valerll
  • Вопрос задан 8 лет назад

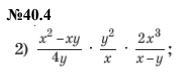
Помогите пожалуйста выполни действия номер 40.4 только 2 пример 20 БАЛЛОВ

Приложения:

Ответы

Ответ дал: valerijdemidov3313
0

Ответ:

........................

Объяснение:

Вас заинтересует