Ответы
Ответ дал:
1
Відповідь:
Покрокове пояснення:
Приложения:

Ответ дал:
1
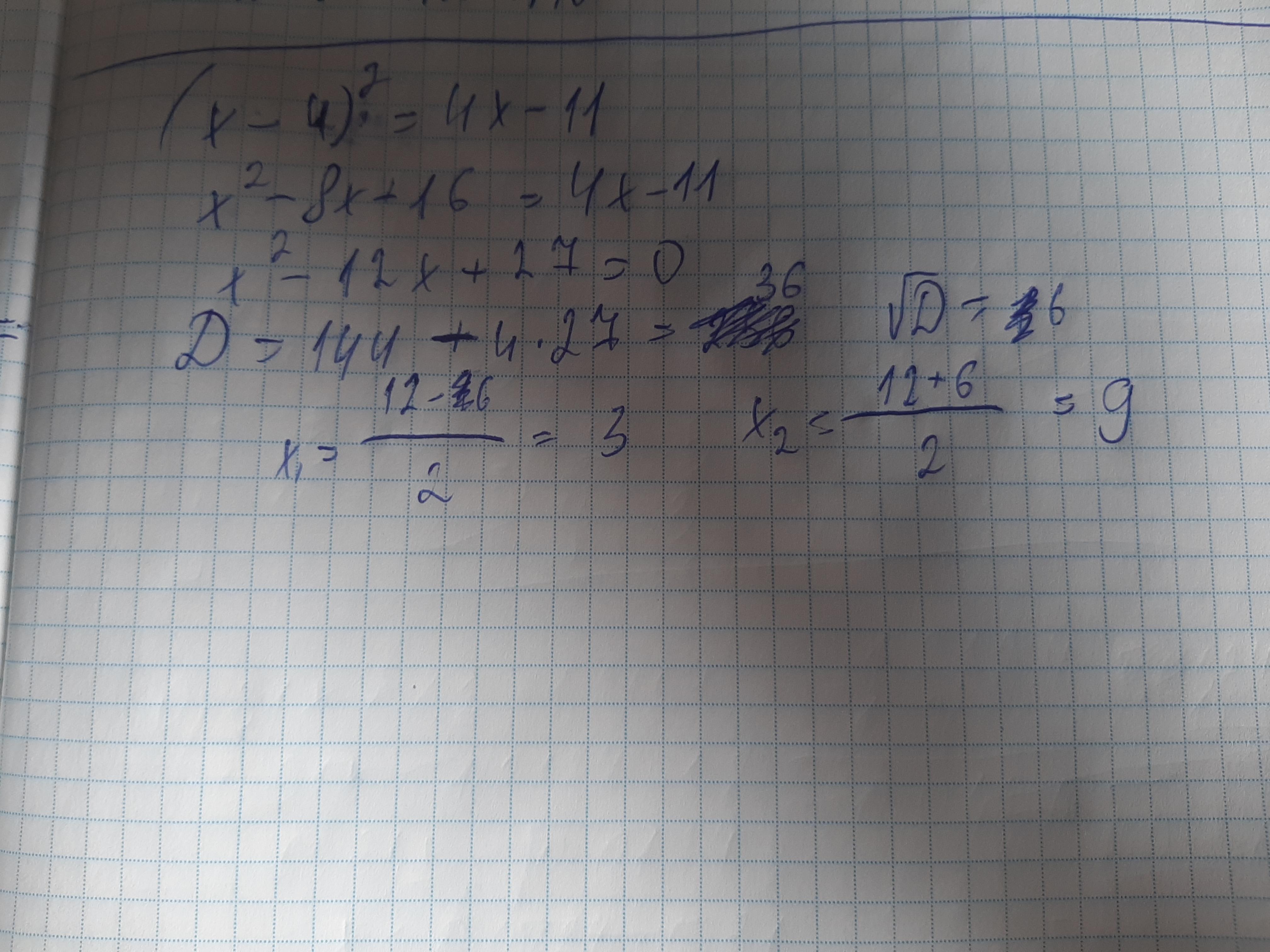
Ответ:
x1= 3, x2=9
Пошаговое объяснение:
раскроем скобки
x^2-8x+16=4x-11
приведём подобные члены
x^2-12x+27=0
решим квадратное через дискриминант
12+-6 делить на два
ответ 3 и 9
Вас заинтересует
1 год назад
1 год назад
1 год назад
1 год назад
3 года назад
8 лет назад