Ответы
Тут все написано. Отметь как лучшее

Ответ:
Объяснение:
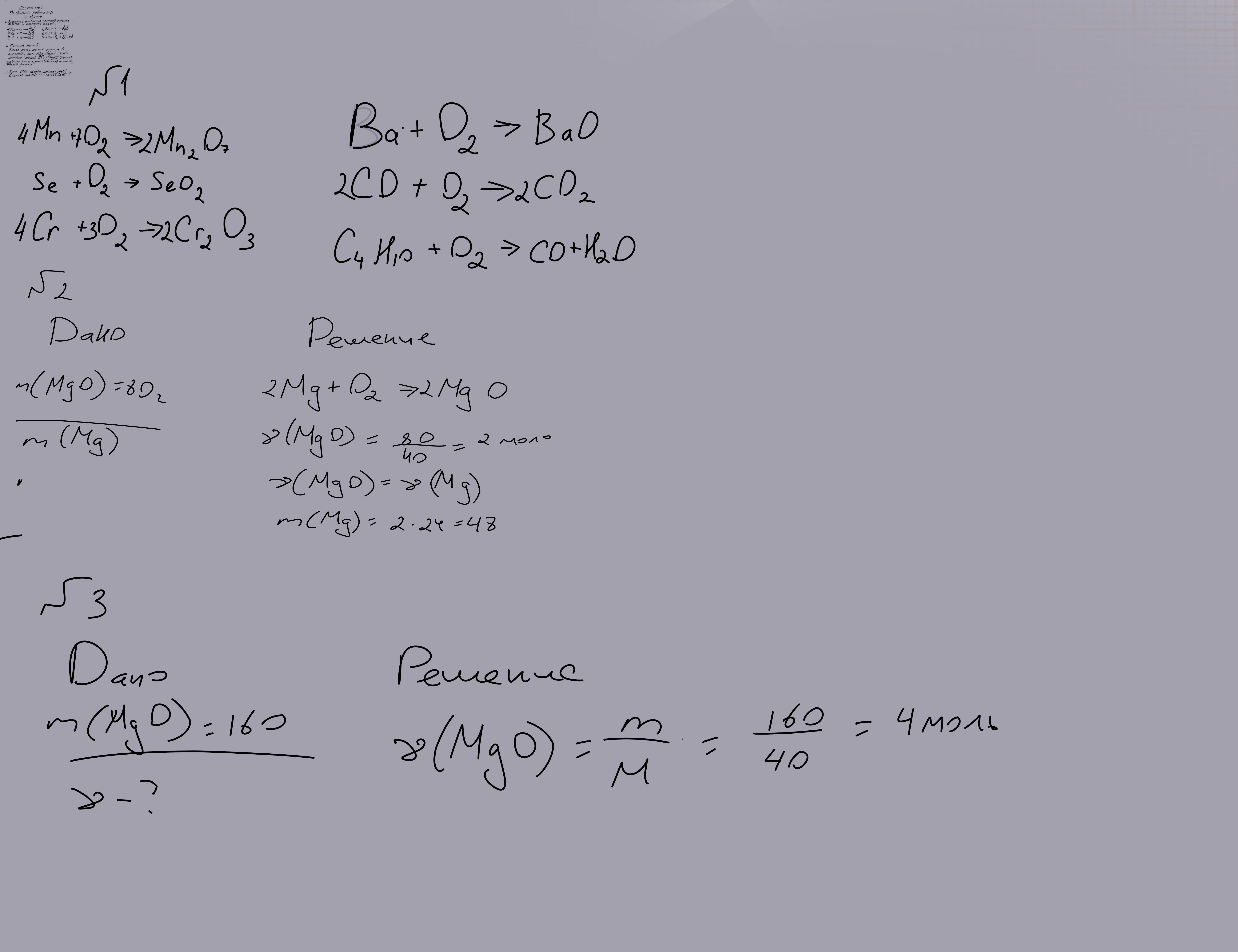
1. Закончите уравнения реакций горения простых и сложных веществ
а 4Mn + 7O2 = 2Mn2O7 г 2Ba + O2 = 2BaO
б Se + 2O2 = SeO2 д 2CO + O2 = 2CO2
в 4 Cr + 3 O2 = 2Cr2O3 е 2C4H10 + 13O2 = 8CO2 + 10H2O
2. Сожгли магний в кислороде. При этом образовалось 80 г оксида магния. Какая масса магния сгорела?
2Mg + O2 = MgO
Молярная масса магния равна 24 г/моль
Молярная масса оксида магния равна 40 г/моль.
Найдем количество вещества MgO n(MgO) = m(MgO) : М(MgO) =
80 г : 40 г/моль = 2 моль 4моль 2 моль
Тогда согласно уравнению реакции: 2Mg + O2 = MgO если образовалось 2 моль оксида магния, то магния сгорело 4 моль.
Найдем массу магния: m(Mg) = M(Mg) × n(Mg) = 24 г/моль × 4 моль = 96 г магния
3. Дано 160 г оксида магния MgO. Сколько молей это составляет? Чтобы найти количество вещества оксида магния нужно массу оксида магния разделить на молярную массу этого оксида:
m(MgO) = 160 г
М(MgO) = 40 г/моль. n(MgO) = m(MgO) : М(MgO) = 160 г : 40 г/моль =
4 моль.
