Ответы
Ответ дал:
0
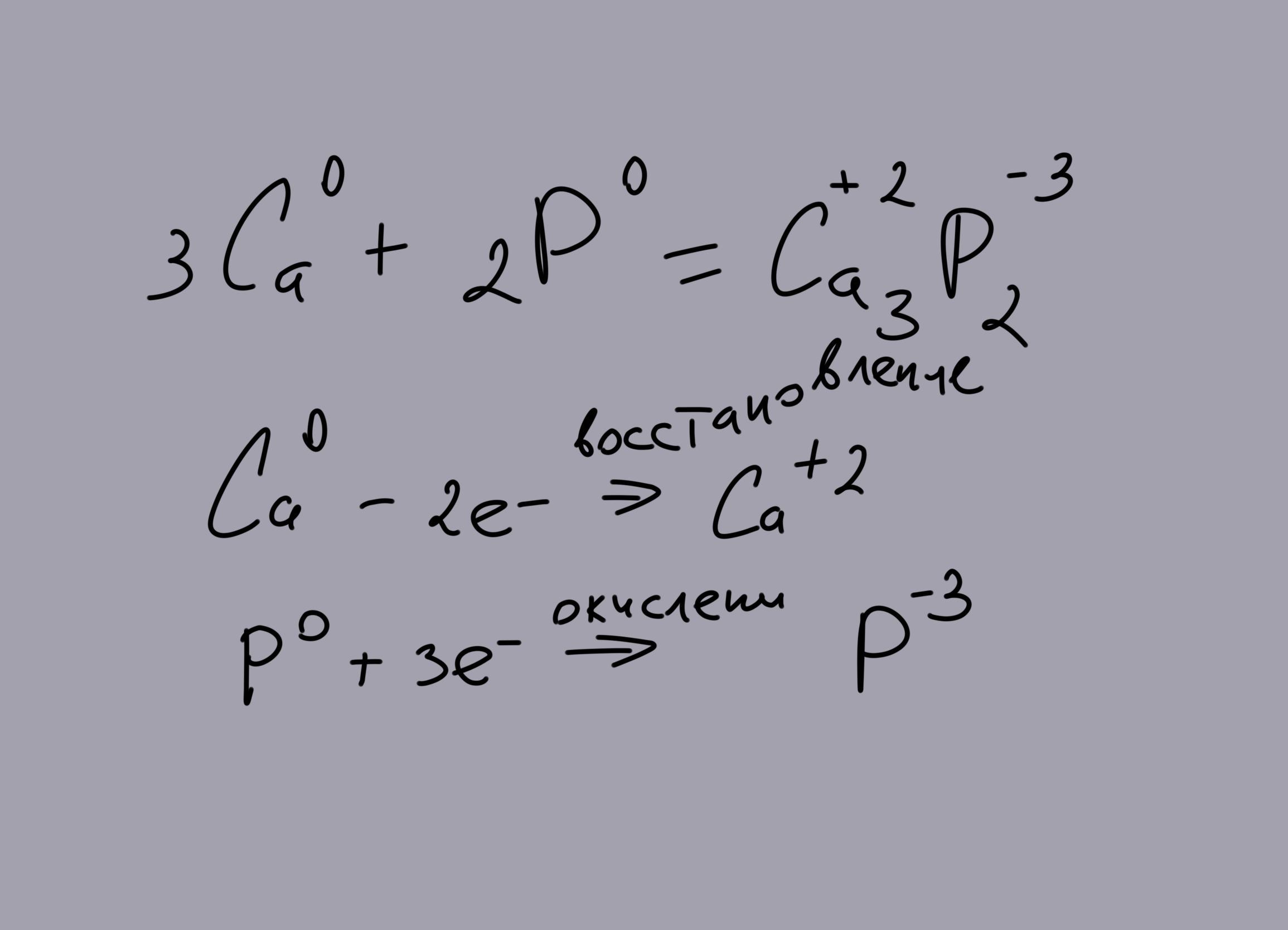
Кальций - восстановитель. Разбор в приложении
Поскольку при восстановлении Степень окисления увеличивается
Приложения:

mashhryl:
https://znanija.com/task/36761724
Вас заинтересует
1 год назад
1 год назад
1 год назад
1 год назад
3 года назад
3 года назад
8 лет назад