• Предмет: Математика
  • Автор: kaoaoaoaoaoaoao
  • Вопрос задан 8 лет назад

ПОМОГИТЕ ПРОШУ ВАС
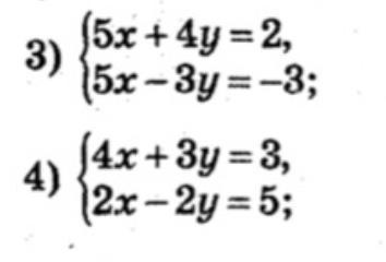
Розв'яжіть методом додавання систему рівнянь:

Приложения:

Ответа на этот вопрос пока нет. Попробуйте найти его через форму поиска.

Вас заинтересует