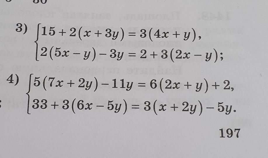
Помогите пжжж. Решите системы уравнений способом подстановки 1440 ( даю 50 баллов ) Заранее спасибо.
Приложения:

Ответа на этот вопрос пока нет. Попробуйте найти его через форму поиска.
Вас заинтересует
2 года назад
2 года назад
3 года назад
3 года назад
8 лет назад
9 лет назад