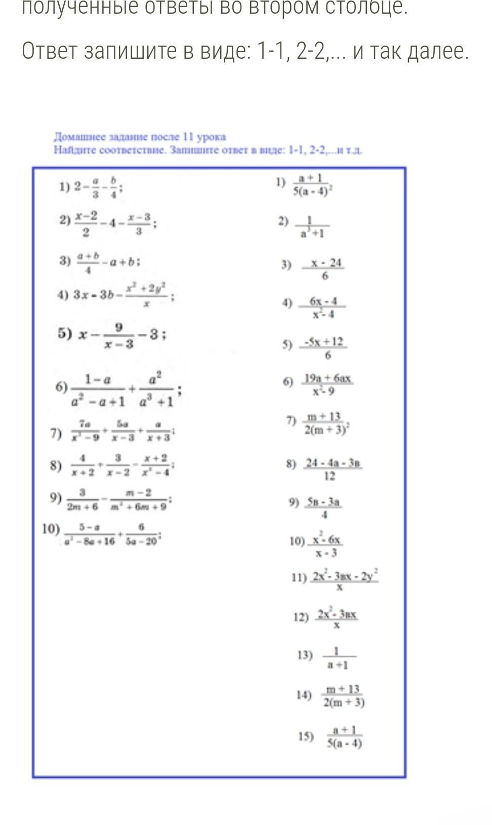
Решите примеры из правого столбца. Найдите полученные ответы во втором столбце.
Ответ запишите в виде: 1-1, 2-2,... и так далее.
Приложения:
Ответа на этот вопрос пока нет. Попробуйте найти его через форму поиска.
Вас заинтересует
2 года назад
2 года назад
3 года назад
3 года назад
9 лет назад
9 лет назад
10 лет назад