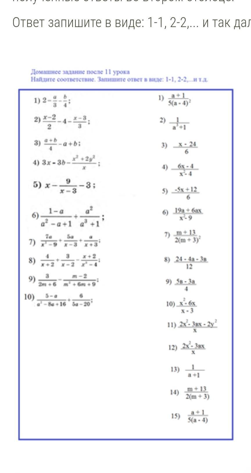
Решите примеры из правого столбца. Найдите полученные ответы во втором столбце.
Ответ запишите в виде: 1-1, 2-2,... и так далее.

Ответы
Ответ:
1) В строке 1 пишешь заголовки: A1="Градусы", B1="Радианы", C1="Синусы"
2) В ячейке A2 пишешь 1. Выделяешь ячейки A2 - A31.
3) В меню находишь Заполнить - Прогрессия.
В открывшемся окошке ставишь установки: По столбцам, Арифметическая,
Шаг 1. Нажимаешь Ок. Заполнил градусы от 1 до 30.
4) В ячейке B2 ставишь =, потом в окошке функций (левый верхний угол)
находишь "Другие функции". В списке находишь РАДИАНЫ. Нажимаешь.
В открывшемся окне нужно задать Угол. Тыкаешь мышью в ячейку A2.
В поле Угол появляется надпись "A2". Нажимаешь Ок, и в B2 появляется значение угла в 1 градус в радианах.
5) Выделяешь ячейку B2, копируешь ее в буфер (Ctrl+C), потом выделяешь
область B3 - B31 и делаешь Вставку (Ctrl+V).
Получил все углы в радианах.
6) Теперь синусы. Встаешь на С2, нажимаешь = и опять в списке функций
находишь функцию SIN. Если сразу нет, открываешь "Другие функции".
В поле число нужно задать аргумент. Тыкаешь мышью на B2. Потом Ок.
7) Точно также, как столбец B, копируешь из C2 в C3 - C31.
Получил столбец синусов.
8) Построение графика. Выделяешь всю таблицу.
Выбираешь меню Вставка - Диаграммы.
Или просто на панели кнопок нажимаешь кнопку Диаграмма.
Выбираешь тип диаграммы - График, самый простой, 1-ый вид.
Подписи осей. Ось x - A1 (Градусы) или B1 (Радианы). Ось y - C1 (Синусы)
Сами оси. Ось x - выделяешь A2-A31 или B2-B31 соответственно.
Ось y - выделяешь C2-C31.
Строишь диаграмму
9) Всё!
Пошаговое объяснение: