• Предмет: Химия
  • Автор: Natasha95
  • Вопрос задан 11 лет назад

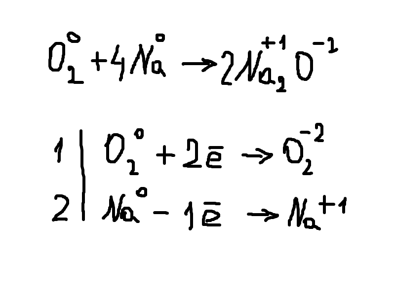
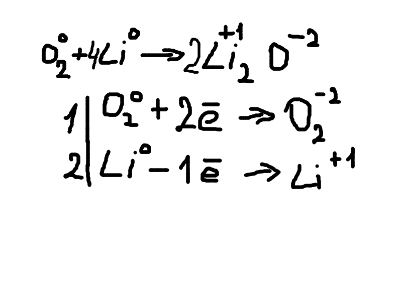
Электронное уравнение

1)кислорода с литием

2)кислорода с натрием

Ответы

Ответ дал: Kr0sH
0

Если не ошибаюсь, то будет так:

Приложения:
Вас заинтересует