• Предмет: Алгебра
  • Автор: angelinacalikan
  • Вопрос задан 8 лет назад

Решите систему уравнений очень надо!!! ​

Приложения:

Ответы

Ответ дал: pustynnikovaveronika
0

Ответ:

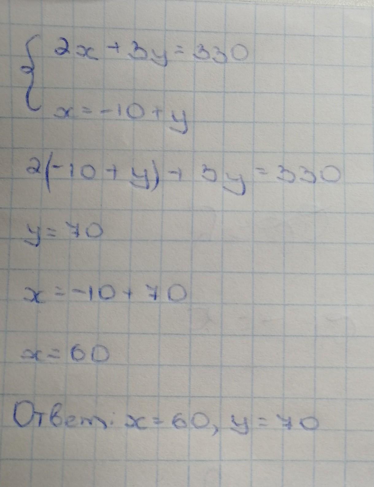
Ответ: x=60, y=70. Вот так вот‍♀️

Приложения:
Ответ дал: angelinacalikan
0
а ты не могла бы полное решение дать пожалуйста!!!
Ответ дал: pustynnikovaveronika
0
готово)
Вас заинтересует
3 года назад