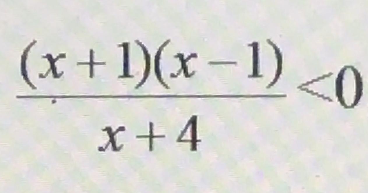
ПОМОГИТЕ, ПОЖАЛУЙСТА, РЕШИТЬ НЕРАВЕНСТВО
Приложения:

Simba2017:
методом интервалов
Ответы
Ответ дал:
0
Ответ:
Решение неравенства на фото:
Приложения:

Вас заинтересует
1 год назад
3 года назад
8 лет назад
8 лет назад