• Предмет: Математика
  • Автор: fullserov
  • Вопрос задан 8 лет назад

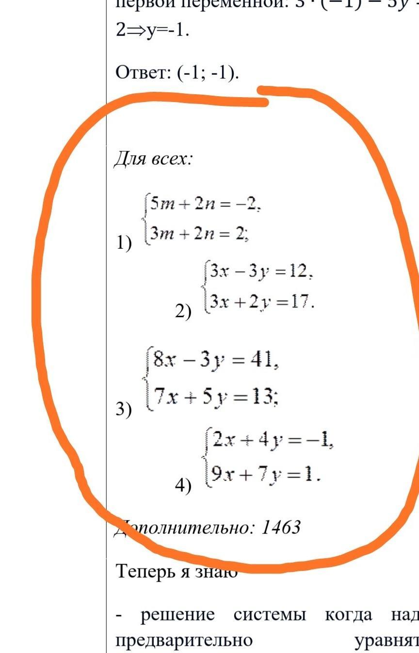
помогите! решить 4 примера по математике​

Приложения:

Ответа на этот вопрос пока нет. Попробуйте найти его через форму поиска.

Вас заинтересует