• Предмет: Математика
  • Автор: bondarm160
  • Вопрос задан 2 года назад

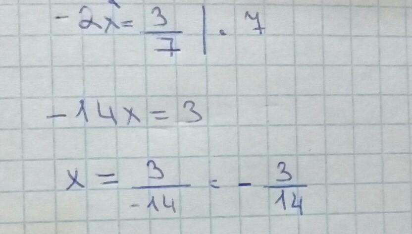
розв'яжіть рівняння -2х=3/7
можете написати дії плз​

Ответы

Ответ дал: alina92094
1

Ответ:

Решение на фотографии

Приложения:
Вас заинтересует