• Предмет: Математика
  • Автор: dimonhcik0676978199
  • Вопрос задан 8 лет назад

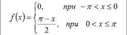
Разложить функцию в ряд Фурье

Приложения:

Ответа на этот вопрос пока нет. Попробуйте найти его через форму поиска.

Вас заинтересует