• Предмет: Математика
  • Автор: demon210607
  • Вопрос задан 8 лет назад

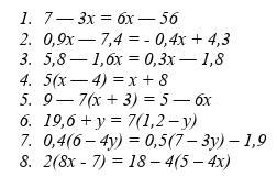
Решите уравнения (подробно)

Приложения:

Ответы

Ответ дал: ayzhamalkurshan21
0

Ответ:

1) 7-3x=6x-56

7+56=6x+3x

9x=63

x=7

2) 0,9x-7,4=-0,4x+4,3

0,9x+0,4x=4,3+7,4

1,3x=11,7

x=9

4) 5(x-4)=x+8

5x-20=x+8

5x-x=8+20

4x=28

x=7

8) 2(8x-7)=18-4(5-4x)

16x-14=18-20+16x

16x-16x=-2+14

0=12 (неправ. уравнение)

Пошаговое объяснение:

думаю остальные все понятно))

Вас заинтересует