• Предмет: Алгебра
  • Автор: kuznetsov270804
  • Вопрос задан 8 лет назад

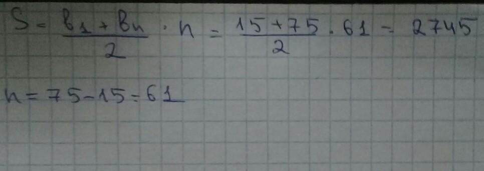
Найдите сумму всех натуральных чисел от 15 до 75 включительно .

Ответы

Ответ дал: alina92094
0

Ответ:

2745

Решение на фотографии

Кол-во членов считается так: последний минус первый плюс 1.

Если что, я выписала все числа от 15 до 75 и посчитала, чтобы наверняка)

Приложения:
Вас заинтересует