• Предмет: Математика
  • Автор: kovalenkoeduard
  • Вопрос задан 2 года назад

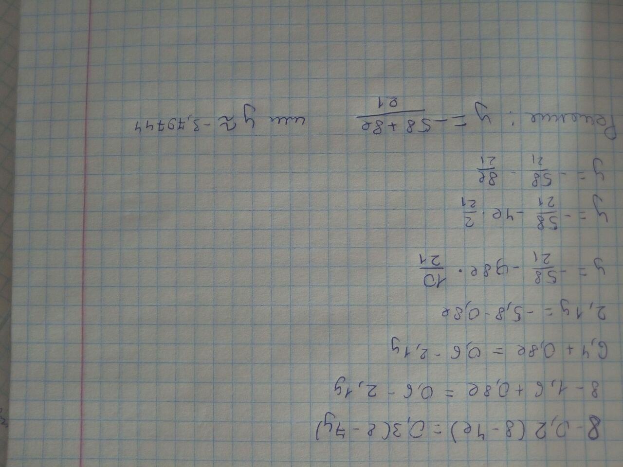
8-0,2(8-4у)=0,3(2-7у) помогите с уравнением

Ответы

Ответ дал: sergejcukdanil
1

Ответ:

вот

Пошаговое объяснение:

Приложения:
Вас заинтересует