• Предмет: Алгебра
  • Автор: farankinstain
  • Вопрос задан 2 года назад

помогите решить пожалуйста

Приложения:

Ответы

Ответ дал: Аноним
0

Ответ:

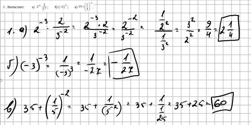
1.a)2\frac{1}{4} б)-\frac{1}{27} в)60

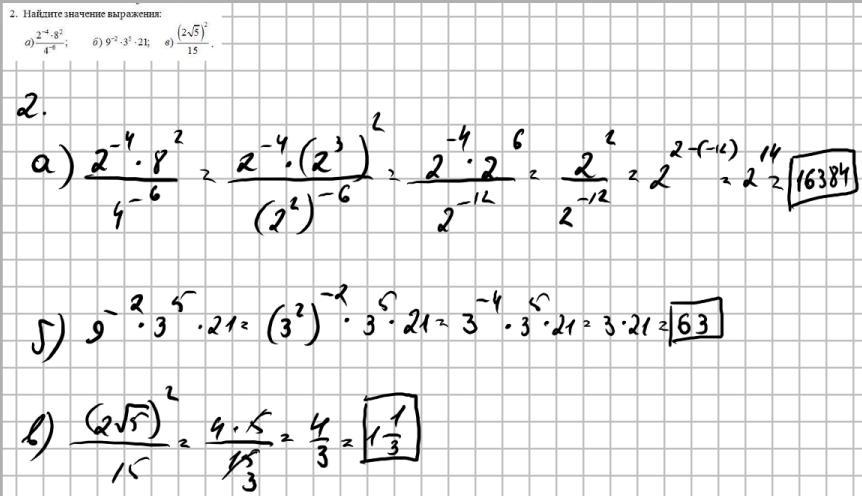
2.a)16384 б)63 в)1\frac{1}{3}

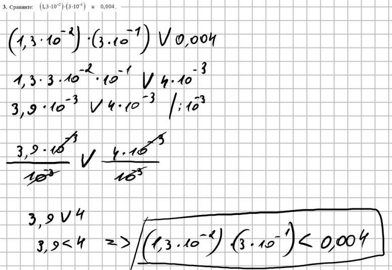
3. <

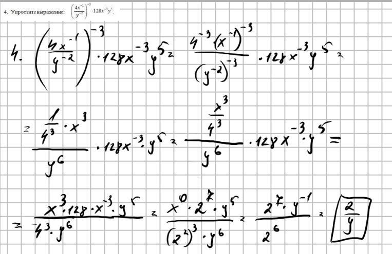
4. \frac{2}{y}

5. 5^{10}

Объяснение:

Приложения:
Вас заинтересует