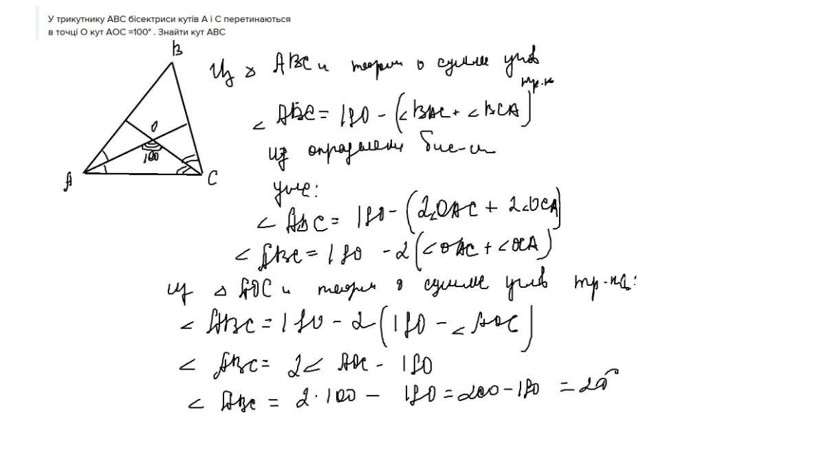
бісектриси кутів А і Стрикутника АВСпретинаються в точці О кут АОС=100 градусів Знайдіть кут АВС?
Ответы
Ответ дал:
0
Ответ:
У трикутнику АВС бісектриси кутів А
Объяснение:
Приложения:

Ответ дал:
0
спс
Ответ дал:
0
обращайся))
Вас заинтересует
2 года назад
2 года назад
3 года назад
8 лет назад
8 лет назад
9 лет назад