• Предмет: Математика
  • Автор: bodddddryh
  • Вопрос задан 8 лет назад

ДАЮ 35 баллов !!!!
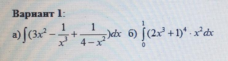
Найти неопределенные интегралы и вычислить определенные

Приложения:

Ответа на этот вопрос пока нет. Попробуйте найти его через форму поиска.

Вас заинтересует