помогите с алгеброй
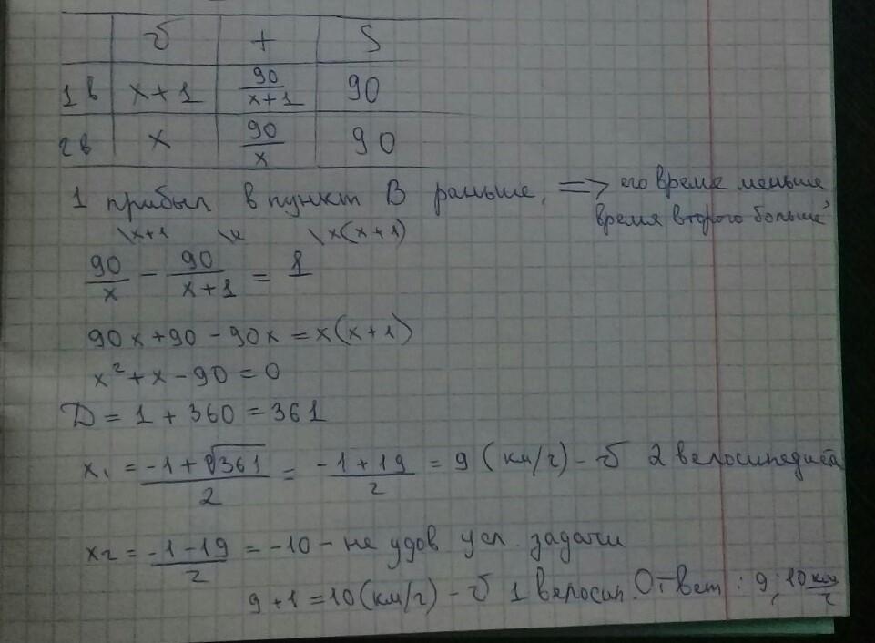
Два велосипедиста выехали одновременно из пункта А в пункт В, расстояние между которыми 90 км. Скорость первого велосипедиста на 1 км/ч больше скорости второго, поэтому первый велосипедист прибыл в пункт В на 1 ч раньше второго. Какова скорость каждого велосипедиста?
Ответы
Ответ дал:
1
Ответ:
Решение на фотографии
Приложения:

Вас заинтересует
1 год назад
1 год назад
1 год назад
1 год назад
3 года назад
8 лет назад